Перегонка с паром
Под перегонкой с паром обычно понимают перегонку смеси частично растворимых друг в друге жидкостей, причем таких, которые остаются частично нерастворимыми и при температуре кипения смеси.
Перегонка с паром применяется обычно для того, чтобы уменьшить температуру перегонки жидкости
Так как при этом в загрузку вводят добавку, то весьма интересно, а иногда и важно, знать, каково будет соотношение вещества и добавки в дестиллате
Зная парциальные давления перегоняемых веществ (ординаты точек пересечения кривых 1 и 2 с вертикалью, см. рис. 74) и их молекулярные веса, можно найти отношение весов совместно перегоняемых веществ по формуле
где WA и WB — веса веществ А и В в дестиллате;
РА И РВ — парциальные давления;
МА и МB — молекулярные веса обоих веществ.
С увеличением молекулярного веса гомологов данного ряда давление пара уменьшается. Как показывает опыт, если перегонять с одним и тем же веществом В различные соединения, являющиеся гомологами, то с ростом молекулярного веса перегоняемых соединении отношение большей частью тоже уменьшается.
Этим объясняется тот факт, что при перегонке с водяным паром ароматических углеводородов в дестиллате на 1 мл воды приходится 11,8 мл бензола, 4,7 мл толуола и всего лишь 2,3 мл ксилола.
На рис. 76, 1 изображен прибор, обычно применяемый для перегонки с водяным паром. Иногда этот процесс проводят, добавляя в колбу неорганические соли, что изменяет условия образования насыщенных растворов компонентов перегоняемой смеси в воде или воды IB перегоняемой смеси. Добавление солей сокращает время, потребное для перегонки. В некоторых случаях, например, при очистке жиров и смол, перегонку с паров проводят в вакууме, что в еще большей степени снижает температуру перегонки.
Рис. 76. Приборы для перегонки с водяным паром: 1 — общеупотребительный прибор для перегонки с паром; 2 — прибор для перегонки малых количеств жидкости с паром
Иногда различные соединения удается с успехом перегонять не только с водяным паром, но и с парами других веществ.
Вещество, заменяющее воду, должно удовлетворять следующим условиям:
1. Его взаимная растворимость с перегоняемым веществом должна быть крайне незначительной.
2. Его давление пара должно быть близким к давлению пара перегоняемого вещества.
3. Молекулярный вес его должен быть не больше, чем! у перегоняемого вещества.
4. Оно должно быть по возможности легко доступным.
В качестве примеров применения метода перегонки с парами различных веществ можно привести перегонку n-нитрофенола с парами высококипящих нефтяных фракций (130 — 160° при 16 мм рт. ст.) или перегонку индиго с керосином7.
Разновидностью перегонки с паром является ректификация в токе перегретого пара или газа, что также снижает температуру процесса. Ректификацию в токе газа можно проводить при работе с термически мало устойчивыми соединениями
Естественно, что при ректификации в токе газа следует обратить особое внимание на улавливание вещества из газового потока, отходящего из колонки. В этих случаях целесообразно заставлять газ циркулировать в системе
На рис. 76, 2 изображен прибор для перегонки с паром малых количеств жидкости7. Прибор может быть собран на шлифах.
Дробная перегонка
При простой перегонке нельзя добиться полного разделения смеси, а можно лишь выделить отдельные фракции, причем первая будет обогащена более летучим компонентом, а последняя — менее летучим. Средняя, промежуточная, фракция будет состоять из смеси низко- и высококипящих компонентов. При дробной перегонке процессы испарения и конденсации многократно повторяются; дистиллят каждый раз становится исходным материалом для следующего процесса. В результате концентрируется низкокипящий компонент.
Дробной перегонке предшествует пробная перегонка, в результате которой узнают величину всего интервала кипения смеси. Пусть этот интервал равен 90-135 °С. Предположим, что разделяемая смесь состоит из двух веществ с температурами кипения 90 и 135 °С. Интервал между температурами кипения делят на три равные части. При первичной перегонке собирают фракции: I — в пределах 90-105 °С, II — 105-120 °С и III — 120-135 °С. Фракцию I перегоняют вторично до тех пор, пока термометр не покажет 105 °С. При этой температуре перегонку прерывают и прибавляют к остатку в колбе фракцию II и снова доводят жидкость до кипения. То, что перегонится до 105 °С, собирают в тот же приемник. Когда температура достигнет 105°С, меняют приемник и отгоняют жидкость до 120 °C. Снова прерывают перегонку, прибавляют к остатку фракцию III, нагревают и, когда температура достигнет 120 °С, меняют приемник и собирают дистиллят, перегоняющийся при 120-125 °С. После вторичной разгонки оказывается, что количество вещества в I и III фракциях увеличилось, а во II фракции значительно уменьшилось.
Нередко дробную перегонку целесообразно проводить при уменьшенном давлении, особенно в тех случаях, когда компоненты смеси имеют близкие температуры кипения и относятся к разным классам соединений. Иногда различие в температурах кипения таких веществ в вакууме может быть значительно большим, чем при атмосферном давлении.
1.2.1. Однократная дистилляция
Однократную
дистилляцию можно проводить как
непрерывно, так и периодически. Рассмотрим
непрерывный способ проведения процесса,
наиболее часто реализуемый в промышленности.
Исходная жидкая смесь состава xF
с мольным расходом
поступает в испаритель 1 (рис. 14.8), где
частично испаряется и переходит в
сепаратор 2, служащий для разделения
паровой и жидкой фаз. Из сепаратора
отводится кубовый остаток составаxW
с расходом
и пары, полностью конденсирующиеся в
конденсаторе 3 с образованием жидкого
дистиллята составаxD
и расходом
.

Рис.
14.8. Схема установки для непрерывной
однократной дистилляции: 1
испаритель; 2
сепаратор; 3
конденсатор.
Запишем
уравнения материального баланса для
смеси в целом и для легколетучего
компонента
,
(14.15)
.
(14.16)
Поскольку
удаляющийся пар находится в равновесии
с кубовым остатком, а вследствие полной
конденсации составы пара и дистиллята
одинаковы, то систему уравнений (14.15),
(14.16) можно дополнить уравнением
равновесия, коэффициент распределения
m в
котором находится из уравнений (14.8),
(14.10)
.
(14.17)
Система
уравнений (14.15)
(14.17) позволяет при заданных давленииp
или температуре Т,
связанных соотношением (14.13) по известным
иxF,
а также
определять составы дистиллятаxD
и кубового остатка xW,
а также расход последнего
.
В качестве заданной величины вместо
в зависимости от постановки задачи
может выступать одна из следующих:xD,xW,
.
Следует иметь ввиду, что эти величины
нельзя задавать произвольно. Из (14.15)
следует естественное ограничение
.
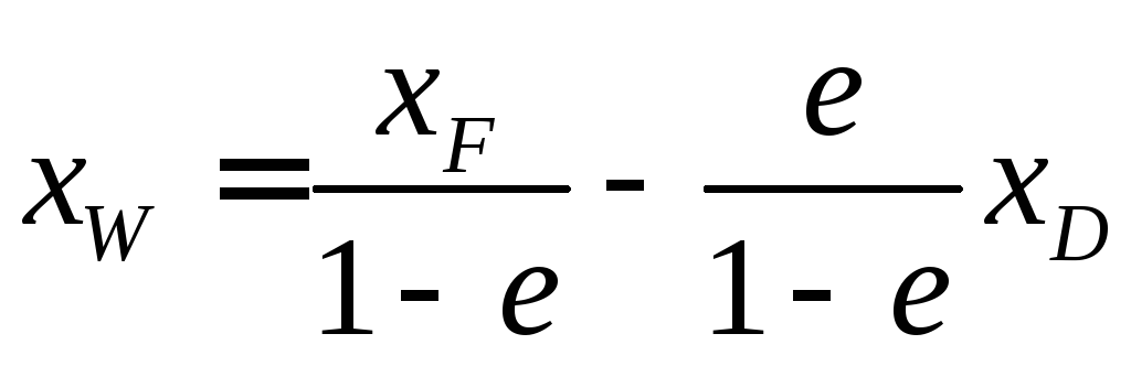
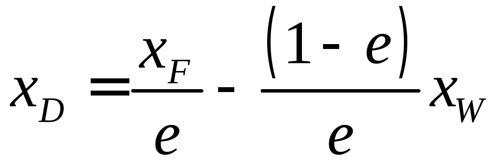
Составы продуктов однократной дистилляции
также должны находиться в пределах,
которые можно установить, преобразуя
уравнения (14.15)
(14.16) к виду
,
(14.18)
,
(14.19)
,
(14.20)
где
e
доля отгона, то есть доля дистиллята,
образующаяся из исходной смеси. Приe1
из (14.18)
,
а из (14.16)
.
Приe0
из (14.19)
,
а из (14.16)
.
Таким образом, составы продуктов
однократной дистилляции находятся в
пределах:
,
.
Проиллюстрировать изменение состава
продуктов однократной дистилляции в
зависимости от доли отгонаe
можно на T
x
y
диаграмме (рис. 14.9). Кроме того, из рис.
14.9 видно, что с увеличением доли отгона
возрастает температура кипения смеси.
Р
ис.
14.9. Составы продуктов однократной
дистилляции при различных значениях
доли отгонаe:
xW,xD
(0e(e=0);
(e=1)
Для
определения расхода теплоты, который
необходимо подвести к испарителю при
проведении процесса однократной
дистилляции, следует записать уравнение
теплового баланса
,
(14.21)
где

тепловая нагрузка испарителя;
,
Дж/моль
удельные мольные энтальпии исходной
смеси, кубового остатка и образующегося
пара, соответственно.
Процесс
перегонки требует большого расхода
теплоты, который затрачивается на нагрев
и испарение исходной смеси. Часть этой
теплоты может быть утилизирована, для
чего в схему установки включают
холодильники дистиллята и кубового
остатка (см. рис. 14.19). Нагретая в них, а
также в конденсаторе 3 охлаждающая вода
может быть использована для предварительного
подогрева исходной смеси и других нужд.
Процесс
однократной дистилляции можно проводить
и периодически. При этом все рассуждения,
приведенные выше сохраняются, а величины
с точками сверху, означающие отнесение
к единице времени, заменяются на
аналогичные, но без точек, характеризующие
не расходы, а количество.
Простая перегонка
Простая перегонка применяется тогда, когда температуры кипения веществ, входящих в состав перегоняемой смеси, значительно отличаются друг от друга. Простая перегонка удобна для очистки веществ от нелетучих или трудно летучих примесей.
|
График зависимости между количеством дистиллята и температурой перегонки.| Колба для перегонки твердых веществ. |
Простая перегонка широко используется, в частности, для отгонки растворителей
При отгонке низкокипящих и легковоспламеняющихся растворителей — — ацетона, спирта, бензола и особенно эфира — следует проявлять большую осторожность.
|
Установка для перегонки под атмосферным давлением.| Правильная установка термометров в перегонной колбе. |
Простая перегонка удобна для очистки веществ от нелетучих или трудно летучих примесей.
Простая перегонка широко используется, в частности, для отгонки растворителей
При отгонке низкокипящих и легковоспламеняющихся растворителей — ацетона, спирта, бензола и особенно эфира — следует проявлять большую осторожность.
. Простая перегонка представляет собой процесс однократного частичного испарения жидкой смеси и конденсации образующихся паров
Известны несколько разновидностей простой перегонки, которые будут рассмотрены ниже.
Простая перегонка представляет собой процесс однократного частичного испарения жидкой смеси и конденсации образующихся паров. Известны несколько разновидностей простой перегонки, которые будут рассмотрены ниже.
|
Кривая взаимной растворимости фенола и воды. |
Простая перегонка применяется для разделения смесей, представляющих собой легколетучее вещество, содержащее примеси нелетучих или весьма трудно летучих веществ.
Простая перегонка применяется для разделения смесей, представляющих собой легколетучее вещество, содержащее примеси нелетучих или весьма трудно летучих веществ.
Простая перегонка применяется для разделения смесей, представляющих собой легколетучее вещество с содержанием примеси нелетучих или весьма труднолетучих веществ.
Простая перегонка с водяным паром применяется главным образом для очистки не смешивающихся с водой высококипящих жидкостей ( например, анилина, нитробензола и др.) — Установка ( рис. 151) состоит из куба 2, снабженного рубашкой 1 для обогрева, барботера 3 для подачи пара, конденсатора 4, отстойника 5 и приемных ем. Продукт, подлежащий перегонке, загружают в куб 2, нагревают, а затем через барботер 3 подают водяной пар. Перегонка происходит при температуре более низкой, чем температура кипения воды.
|
Приборы для простой перегонки. |
Простая перегонка сводится к частичному испарению кипящей жидкой смеси, полному отводу и конденсации образовавшихся при этом паров.
|
К расчету простой дистилляции. |
Простая перегонка
Простая перегонка применяется, когда не требуется полного разделения смеси.
|
Установка для перегонки под атмосферным давлением. / — перегонная колба ( колба Вюрца. 2 — холодильник. 3 — алонж. 4 — приемник. |
Простая перегонка применяется тогда, когда температуры кипения веществ, входящих в состав перегоняемой смеси, значительно отличаются друг от друга. Простая перегонка удобна для очистки веществ от нелетучйд или трудно летучих примесей.
|
График зависимости между количеством дистиллята и температурой перегонки.| Колба для перегонки твердых веществ. |
Простая перегонка широко используется, в частности, для отгонки растворителей
При отгонке низкокипящих и легковоспламеняющихся растворителей — ацетона, спирта, бензола и особенно эфира — следует проявлять большую осторожность.
|
Схема простой перегонки. |
Простая перегонка может проводиться при атмосферном давлении или при разрежении. В последнем случае неконденсирующиеся газы отсасываются из приемников дистиллята вакуум-насосом.
|
Схема разделения смеси двух жидкостей. |
Простая перегонка дает хорошие результаты лишь тогда, когда примеси нелетучи или когда температуры их кипения значительно ( на несколько десятков градусов) отличаются от таковой основного вещества. Если же смесь состоит из компонентов с меньшей разницей в температурах кипения, то в пары будут переходить одновременно все компоненты — низкокипящие в большем количестве, высококипящие в меньшем.
|
Диаграмма состояния для смеси. |
Простая перегонка применяется в том случае, когда температуры кипения веществ, входящих в состав перегоняемой смеси, значительно отличаются друг от друга. Удовлетворительное разделение возможно при условии что разница в температурах кипения перегоняемых жидкостей составляет не менее 80 С. Простая перегонка удобна для очистки веществ от нелетучих или трудно летучих примесей.
Простая перегонка широко используется, в частности, для отгонки растворителей
При отгонке низкокипящих и легковоспламеняющихся растворителей — ацетона, спирта, бензола и особенно эфира — — следует проявлять большую осторожность.
. Простая перегонка иногда используется и для очистки термонестойких и нестойких по отношению к воздуху веществ
В этих случаях процесс перегонки обычно проводят при пониженном давлении ( перегонка в вакууме) с целью снижения температуры кипения очищаемого вещества или для удаления воздуха из перегонной системы. В таком варианте простая перегонка особенно часто применяется в лабораторной практике для выделения продуктов реакции из реакционной смеси.
Простая перегонка иногда используется и для очистки термонестойких и нестойких по отношению к воздуху веществ. В этих случаях процесс перегонки обычно проводят при пониженном давлении ( перегонка в вакууме) с целью снижения температуры кипения очищаемого вещества или для удаления воздуха из перегонной системы. В таком варианте простая перегонка особенно часто применяется в лабораторной практике для выделения продуктов реакции из реакционной смеси.
Простая перегонка, осуществляемая для разделения многокомпонентной смесн, включает два противоположных процесса — испарение и конденсацию.
Простая перегонка не может дать удовлетворительного разделения жидкостей с близкими температурами кипения. Поэтому она применяется только для грубого разделения на широкие фракции. С и другие перегонкой с дефлегматором. Перегонка при температурах выше 200 С проводится под вакуумом во избежание термического разложения высокомолекулярных углеводородов.
Список источников
- www.spec-kniga.ru
- www.ngpedia.ru
- StudFiles.net
- chemlib.ru