Л-тироксин для похудения схема приема. прием препарата

L-Тироксин для похудения

И наоборот, гормон ТТГ разгоняется белковой едой и физ. Подитожу: если есть проблемы с обменом веществ — сдайте хотя бы 1! Гормон ТТГ. А лучше 4. Терапевт зеает, какие.

Направление берете у терапевта. А дальше, по результатам, вам скажут, что делать. Гипотиреоз это серьезное заболнвание и такой диагноз может поставить только врач эндокринолог на основании анализов и исследований щитовидной железы!

Принимая бесконтрольно гормоны щитовидной железы вы угнетаете функцию своей щитовидной железы, вы ее попросту убьете, и заработаете еастоящий гипотиреоз! И будете уже вынуждены принимать тироксин пожизненно со всеми его побочными эффектами!

Принимаю этот препарат неделю и похудела на 1 кг. Но мне прописал л-тироксин эндокринолог. Я бы не советовала здоровым людям ради похудения принимать этот гормон.

Состав и форма выпуска

В первые три дня у меня был неустойчивый стул и не сильные боли в сердце. А мне врач назначил L-тироксин при моём диагнозе гипотиреоза. Мне 39 лет, рост см.

Выспались все брови и ресницы, продолжают высыпаться волосы на голове вместе с фолликулами, при расчёсывание более 50 шт. Дискомфорт в правом боку ниже рёбр, ощущение будто печень раздувается. И то я сомневаюсь принемать. У меня так же было, как можно скорее начните принимать L-Тироксин и каждые 3 месяца проверяйте подходит ли доза.

Люди, вы в своем уме? Мне сегодня данный препарат назначил эндокринолог, я не знала что можно похудеть при приёме, пить не хочется, но надо, чтобы привести в порядок гормоны.

L-Тироксин

Особым интересом в бодибилдинге пользуются гормоны щитовидной железы. Щитовидная железа – это один из самых важных в организме человека органов эндокринной системы. От ее нормальной работоспособности зависит общее здоровье человека, поскольку она вырабатывает гормоны Т3 и Т4, которые напрямую влияют на скорость обмена веществ.

Как правило, у тех спортсменов, которые соблюдают диету и активно занимаются спортом, жир уходит очень медленно. Причиной тому, служит слабая работа щитовидной железы. В данной статье речь пойдет о гормоне Т4 (L-Тироксин) и его применении в бодибилдинге.

В настоящий момент — это очень актуально, потому как трийодтиронин (Т3) в пределах России практически отсутствует.

Совет!

Гормон Т4 или L-Тироксин, вырабатывается щитовидной железой и распространен в России, поскольку его выписывают врачи людям, страдающим на гипотериоз, чтобы восстановить гормональный баланс.

Гормон обладает слабой активностью, но в сочетании со специальным ферментом превращается в гормон Т3 (трийодтиронин). Тироксин весьма успешно используется бодибилдерами в процессе подготовки к соревнованиям.

Очень часто, его использование приводит к серьезным негативным последствиям, которые связаны с неправильным его употреблением, порой даже бездумным.

Это связано с тем, что многие начинающие атлеты (а порой и профессиональные), находящиеся в поиске самых волшебных препаратов, используют Т4, после чего дело доходит до гормонно-заместительной терапии на всю жизнь. Поэтому, бездумное применение препарата способно привести к очень печальным последствиям.

Разница между гормонами Т3 (трийодтиронином) и Т4 (тироксином)

Гормон Т4 не проявляет особой активности, но в сочетании с ферментом селен – зависимой монодейодиназы, он способен превратиться в достаточно мощный гормон трийодтиронин. В связи с этим, тироксин иногда сравнивают с прогормоном. Некоторые специалисты считают, что трийодтиронин считается лучшим выбором, по сравнению с тироксином, но это не правда. В чем же дело?

Первое, на что следует обратить внимание – это на тот факт, что трийодтиронин способен вызвать серьезные колебания гормонального фона, что очень нежелательно для щитовидной железы. При повышении уровня тиреоидных гормонов, щитовидная железа может надолго потерять свой ритм работы

Поэтому, прием тиреоидных гормонов требует постепенного увеличения дозировки. Кроме этого, доза должна соответствовать физическим данным спортсмена

При повышении уровня тиреоидных гормонов, щитовидная железа может надолго потерять свой ритм работы. Поэтому, прием тиреоидных гормонов требует постепенного увеличения дозировки. Кроме этого, доза должна соответствовать физическим данным спортсмена.

Второе – это дефицит на гормон Т3, а гормон Т4 достать гораздо легче. На сегодняшний день л-тироксин продается в аптеках без рецепта, хотя по закону этого не должно быть.

Трийодтиронин в аптеках не продается вообще, хотя еще совсем недавно его можно было приобрести в аптеках под названием «Цитомель» и «Триакана», а самым последним препаратом этой категории был «трийодтиронин» от Берлин-Хеми.

Внимание!

Кроме этого, цены на эти гормоны очень сильно рознятся. Это означает, что л-тироксин получается более доступным препаратом, чем трийодтиронин.

И самое главное, это то, что по отзывам атлетов тироксин не отличается жесткостью. В случае отказа от его приема не сильно заметна потеря мышечной массы.

Как правильно принимать тироксин

Принимается тироксин «горкой» так же, как и трийодтиронин. Разница состоит лишь в количестве принимаемого вещества: 25-100 мкг трийодтиронина – это 100-300 мкг тироксина. Несмотря на это, принимать больше 200 мкг тироксина не рекомендуется.

Последовательность приема следующая:

  • Первый день – 25 мкг.
  • Второй день – 50 мкг.
  • Третий день – 75 мкг.
  • Четвертый день – 100 мкг.
  • Пятый день – 125 мкг.
  • Шестой день – 150 мкг.

Не рекомендуется отказываться от приема препарата, не придерживаясь определенной схемы: выход с курса приема такой же, но в обратном порядке.

Л-тироксин схема приема для похудения. Как принимать Л-тироксин для похудения и каковы его побочные действия – Красота и питание – все о ЗОЖ

Тироксин представляет собой один из ключевых гормонов щитовидной железы, синтетические аналоги которых призваны восполнять недостаток натуральных. В наше время биологически активным веществам находят иную цель применения – снижение веса.

Л-тироксин для похудения используют как пусковой механизм ускорения обменных процессов организма. Дисфункция щитовидной железы приводит к замедлению метаболизма, снижению двигательной активности, ожирению.

Воздействие препарата на процессы белкового, жирового распада содействует сжиганию запасов жировой массы – похудению.

Инструкция по применению L-тироксина

L-тироксин Берлин-хеми (Левотироксин) используют в лечении патологий щитовидной железы. В последние годы это средство используют как мощный жиросжигатель, ускоряющий процессы обмена в организме, повышающий работоспособность, улучшающий состояние нервной системы.

Препарат следует принимать только по назначению врача: гормон может вызвать патологии здоровой щитовидки. Грамотно подобранный курс приема Л-тироксина для похудения поможет сбросить лишний вес, улучшить общее состояние организма.

Свойства синтетического гормона заключаются в следующем:

  1. Улучшение обмена веществ.
  2. Препятствование усвоению белков и жиров.
  3. Снижение аппетита.
  4. Ускорение кровотока.

Придерживаясь безопасной суточной дозы препарата, можно значительно улучшить качество жизни, восстановить силы.

Важно знать, что необходимо принимать L-тироксин для похудения с осторожностью: гормональная терапия нередко оказывает противоположный эффект на состояние эндокринной железы. Во время курса приема эль-тироксина необходимо придерживаться низкокалорийной диеты и не пренебрегать физическими нагрузками

Во время курса приема эль-тироксина необходимо придерживаться низкокалорийной диеты и не пренебрегать физическими нагрузками.

Как принимать для похудения

Синтетические гормоны для похудения помогают эффективно бороться с лишним весом. Использование таких жиросжигателей обосновано только патологией функции щитовидной железы.

Уменьшение отложений жира является лишь второстепенным воздействием препарата. Суточная доза гормона составляет 1, 8 мкг на 1 кг веса.

Уменьшать жировую массу Л-тироксином для похудения необходимо, применяя следующую дозировку препарата:

  1. Первые 4 дня нужно употреблять по 1 таблетке перед первым приемом пищи.
  2. На 5-7 день – по 2 таблетке на голодный желудок.
  3. С 8 дня и до конца курса (всего 7 недель) рекомендуемая доза – 3 таблетки.

Побочные действия

Передозировка Л-тироксина может существенно навредить организму человека. Синтетический гормон содержит множество вспомогательных веществ, отрицательно влияющих на состояние нервной системы.

При появлении любого дискомфорта следует обратиться к специалисту: врач назначит новый протокол лечения с уменьшенной дозировкой препарата или заменит гормон другим средством.

Побочные эффекты препарата могут способствовать появлению симптомов:

  • тиреотоксикоза;
  • перегрузки сердца, сосудов;
  • нарушений нервной системы.

Л-тироксин является мощным средством гормональной терапии, в этой связи он имеет ряд противопоказаний:

  • Лекарственное средство может вызывать аллергические реакции.
  • Употребление Л-тироксина строго запрещено при тиреотоксикозе, инфаркте миокарда, остром миокардите, сахарном диабете, гипотиреозе, патологиях тонкого кишечника.
  • Беременность и период лактации не являются противопоказанием для применения препарата.

L-тироксин 100. Состав:

Описание: круглые слегка выпуклые таблетки белого или белого со слегка желтоватым оттенком цвета, с риской на одной стороне и тиснением «100» на другой.

Фармакологическая группа: Тиреоидное средство.

Код ATX: Н03AA01

Фармакологические свойства Фармакодинамика Синтетический левовращающий изомер тироксина. После частичного превращения в трийодтиронин (в печени и почках) и перехода в клетки организма, оказывает влияние на развитие и рост тканей, на обмен веществ. В малых дозах обладает анаболическим действием на белковый и жировой обмен. В средних дозах стимулирует рост и развитие, повышает потребность тканей в кислороде, стимулирует метаболизм белков, жиров и углеводов, повышает функциональную активность сердечно-сосудистой системы и центральной нервной системы.В больших дозах угнетает выработку тиротропин-рилизинг гормона гипоталамуса и тиреотропного гормона (ТТГ) гипофиза.Терапевтический эффект наблюдается через 7-12 дней, в течение этого же времени сохраняется действие после отмены препарата. Клинический эффект при гипотиреозе проявляется через 3-5 сут. Диффузный зоб уменьшается или исчезает в течение 3-6 мес. Фармакокинетика При приеме внутрь левотироксин натрия всасывается почти исключительно в верхнем отделе тонкой кишки. Всасывается до 80% принятой дозы препарата.Прием пищи снижает всасываемость левотироксина натрия. Максимальная концентрация в сыворотке крови достигается примерно через 5-6 часов после приема внутрь. После всасывания более 99% препарата связывается с белками сыворотки крови (тироксин-связывающим глобулином, тироксин-связывающим преальбумином и альбумином). В различных тканях происходит монодейодирование примерно 80% левотироксина натрия с образованием трийодтиронина (Т3) и неактивных продуктов. Тиреоидные гормоны метаболизируются главным образом в печени, почках, головном мозге и в мышцах.Небольшое количество препарата подвергается дезаминированию и декарбоксилированию, а также конъюгированию с серной и глюкуроновыми кислотами (в печени). Метаболиты выводятся почками и через кишечник. Период полувыведения препарата составляет 6-7 дней. При тиреотоксикозе период полувыведения укорачивается до 3-4 дней, а при гипотиреозе удлиняется до 9-10 дней.

Показания к применению

L-Тироксин используется для поддерживающей ЗГТ при гипотиреоидных состояниях различной природы происхождения, включая в том числе первичный и вторичный гипотиреоз, развившиеся после операции на ЩЖ, а также состояния, спровоцированные терапией с применением препаратов радиоактивного йода.

Также целесообразным считается назначение препарата:

  • при гипотиреозе (как при врожденно, так и в случае, когда патология является следствием поражений гипоталамо-гипофизарной системы);
  • при ожирении и/или кретинизме, которые сопровождаются проявлениями гипотиреоза;
  • при церебрально-гипофизарных болезнях;
  • в качестве профилактического средства при рецидивирующем узловом зобе после резекции ЩЖ (если ее функция не изменена);
  • для лечения диффузного эутиреоидного зоба (L-Тироксин используется как самостоятельное средство);
  • для лечения эутиреоидной гиперплазии ЩЖ, а также болезни Грейвса после достижения компенсации интоксикации тиреоидными гормонами при помощи тиреостатических средств (в составе комплексной терапии);
  • при болезни Грейвса и болезни Хашимото (в комплексном лечении);
  • для лечения пациентов с гормонозависимыми выкодифференцированными злокачественными новообразованиями в ЩЖ (включая папиллярную или фоликулярную карциному);
  • для супрессивной терапии и ЗГТ у пациентов со злокачественными новообразованиями в ЩЖ (в том числе после хирургического вмешательства по поводу рака ЩЖ); в качестве диагностического средства при проведении тестов тиреоидной супрессии.

Кроме того, тироксин нередко применяют в бодибилдинге в качестве средства для похудения.

Способ применения для похудения

Начинать прием средства по инструкции, чтобы планомерно худеть, следует с минимальной дозы 25 мкг. Если организм нормально воспринимает гормональный дженерик, то можно переходить к ежедневной норме препарата в 50 мкг. Прием делят на два раза по 25 мкг в первой половине дня до 18 часов. При возникновении побочного эффекта в виде учащенного сердцебиения в легкой форме убирают симптом при помощи бета-блокатора (метопролол, бисопролол, карведилол и другие). При сильных изменениях ритма сердца, дозу снижают либо препарат отменяют.

Если организм хорошо переносит синтетический аналог Л-Тироксин 100 мкг, то дозировку постепенно увеличивают до 150–300 мкг. Суточную дозу делят на три приема и употребляют в первой половине дня. Курс составляет 30 дней, при необходимости его повторяют после месячного перерыва, во избежание переизбытка йодсодержащего вещества. Препарат принимают за 60 минут до еды или спустя 2 часа после приема пищи. Некоторые продукты усиливают его действие – это лимоны, помидоры, огурцы, листовой салат, сельдерей.

Побочные действия Тироксина

Л-тироксин может сопровождаться следующими побочными эффектами:

  • Нарушение сердцебиения;
  • Повышенное нервное напряжение;
  • Бессонница;
  • Тошнота, рвота;
  • Тремор конечностей;
  • Кожные высыпания, чувство жара и потливости, повышение температуры тела, боль в грудной клетке;
  • Аллергические проявления.

Подобные реакции возникают, как правило, при наличии противопоказаний к применению у пациента или же значительной передозировке л-тироксином. В любом случае, если вы заметили у себя один или несколько побочных действий, следует посоветоваться со специалистом по вопросу целесообразности дальнейшего применения.

Природа происхождения тироксина

Щитовидка поглощает йод из плазмы крови, который соединяется с аминокислотой тирозином, в итоге появляются тиреоидные гормоны. Вещества для синтеза гормонов транспортируются по кровеносным путям в клетки железы. Точно также синтезированные гормоны выходят из щитовидки. Под воздействием ТТГ образуются два гормона, которые содержат в составе йод:

  • Кальцитонин, выделяется специально клеточной группой в составе щитовидной железы.
  • Трийодтиронин (T3). Биологически активный, его активность практически в пять раз выше, нежели у тироксина.
  • Тироксин (T4, тетрайодтиронин). Биологически слабый, под действием ферментов может преобразовываться в трийодтиронин.

В своем состоянии Т3 и Т4 имеют небольшие количества, как правило, это связано с глобулином. Именно от объема свободного тироксина будет зависеть степень воздействия на организм. Активность секреции сама регулируется организмом — при необходимости она увеличивается.

Это проходит с помощью тиретропного гормона (ТТГ). Данный гормон действует на мембраны тканей эпителиального слоя щитовидки и активирует фермент, в свою очередь, повышающий секрецию и синтез гормонов. ТТГ нормализует все процессы — синтез тироксина, соединение тирозина с йодом, а также высвобождение и разрушение тиреоглобулина.

Фармакологическое воздействие L-тироксина

Гормоны щитовидки имеют большой спектр действия на разные физиологические процессы в организме:

  1. Имеет незначительное на регенерацию и большое влияние на деление клеток. Так, регулирует развитие, созревание, восстановление, обновление и специализацию клеток организма. Это воздействие особенно требуется во время развития плода, а именно нервной системы, костного скелета, мозговых тканей. Так, берет участие в появлении интеллекта будущего человека. Во время гипотиреоза в детстве нарушается умственное развитие, во время эмбриона — тяжелая умственная отсталость. Во время полного отсутствия гормонов появляется кретинизм;
  2. Действует на энергетический обмен — активирует образование тепла и энергии. При низком количестве гормонов скорость обменных процессов существенно снижается, при их высоком содержании она повышается почти в 2 раза относительно нормы;
  3. Повышает метаболизм углеводов и жиров;
  4. Активирует синтез белков (по принципу анаболика). Требуется для интенсивного роста;
  5. Берет участие в регулировании процессов обмена с магнием и калием;
  6. Берет участие в витаминном обмене. К примеру, участвует в печени в окислении витамина А;
  7. Повышает устойчивость организма к стрессам;
  8. Влияет на функции остальных гормонов. К примеру, усиливает воздействие адреналина, глюкокортикоидов, инсулина. Во время совместного действия с соматотропном (гормоном роста) помогает его работе. Нехватка тироксина может приводить к карликовости;
  9. Активирует возможности иммунитета организма и увеличивает стойкость организма к действию патогенных вирусов и микроорганизмов;
  10. Повышает выход холестерина в желчь и в печени синтез фосфолипидов. Во время гипертиреоза (высоком содержании) выведение и разрушение холестерина превышает его объем, синтезируемый в печени. Это приводит к уменьшению в крови количество холестерина;
  11. Активирует работу сердечно-сосудистой и нервной систем;
  12. Воздействует на обмен азотистых элементов. Высокое содержание активирует выход азота с мочой.

Фармакологическое действие зависят от доз тироксина:

  • В больших дозировках сокращает секрецию тиреотропин-релизинга гипоталамуса, в итоге, снижается гипофизом образование ТТГ. В этих дозах не используется для похудения;
  • В средних дозах активирует развитие и рост тканей и клеточных структур, повышает потребность в кислороде, увеличивает активность жирового, углеводного и белкового обменного процесса, стимулирует и улучшает функционирование сосудов, сердца и нервной системы.
  • Малые дозы — повышает синтез белков (по принципу анаболиков), берет участие в качестве ускорителя в процессах образования и обновления структур клеток, мышечной массы и тканей.

Свойства, которые позволяют применять L-тироксин для похудения:

  1. Подавление аппетита и снижение чувства голода;
  2. Ускорение обменного процесса;
  3. Ускоряется скорость кровотока. Усиливается потоотделение и теплопродукция. Имеет слабый мочегонный эффект, способствующий снятию отечности и выходу небольшого объема жидкости из организма;
  4. Усиленное расщепление жиров;
  5. Улучшает эмоциональное и психологическое состояние;
  6. Активирует нервную систему. Уменьшает потребность человека во сне и отдыхе. Повышает выносливость и работоспособность, это способствует вероятному увеличению времени тренировок и физических нагрузок.

Форма выпуска препарата

Препарат производится поможет Вам, если нет — я бы посоветовала идти к врачу, а потом принимать решение — пить или не пить!!!»

Алексашина Людмила, 41 год, г.Санкт-Петербург

«Для меня препарат «L-тироксин стал настоящим спасением. Но…. У меня был диагноз гипофункция щитовидной железы. Пока не пошла к врачу даже и не подозревала о диагнозе. Нарушения были общего характера — волосы стали сухими и ломкими, быстро уставала, все время была какая-то слабость и вялость, постоянно мерзла. И только когда стала резко набирать вес, забеспокоилась. Доктор приписал этот препарат по 50 мг в сутки, по 25 мг утром и вечером. Мне сейчас действительно хорошо. Лишние килограммы, а я набрала за 6 месяцев 10 килограмм, ушли. Самое главное вес стабилизировался, улучшилось общее состояние, прошли все симптомы, которые отравляли мне жизнь.

Если Вы прошли обследование и узнали о неутешительном диагнозе, не стоит расстраиваться. Начните принимать «L-тироксин». Состояние щитовидной железы станет лучше, и Вы не будете набирать лишние килограммы, от которых без лекарства избавиться невозможно»

Рыжикова Юнона, 34 года, г.Нижний Новгород

«Не советую принимать любые гормональные препараты без рекомендации врача-эндокринолога и необходимости, продиктованной состоянием здоровья. Тем более для снижения веса. Препарат «L-тироксин» используется при заболеваниях щитовидной железы, которые связаны с ее гипофункцией. Вот и принимайте лекарство тогда, когда необходимо лечение!

Если Вам поставили такой диагноз, то Вы действительно можете с его помощью похудеть, а если Ваша щитовидная железа в норме, то не стоит будить лихо….

Попробуйте повысить выработку естественного тироксина, подхлестнув свой организм. Для этого:

• пейте много негазированной питьевой воды и свежевыжатых натуральных соков;

• ешьте овощи и фрукты, которые способствуют выведению токсинов из организма. А эти токсины препятствуют выработке гормонов. Такими продуктами являются огурцы, помидоры, сельдерей, зеленый салат, лимоны и множество других;

• снизьте содержание в своем рационе пищи, которая богата вкусовыми добавками, животными жирами и всевозможными красителями;

• занимайтесь простыми видами спорта — велоспорт, плавание, спортивная ходьба, активные игры на свежем воздухе!»

Котова Юлия, 44 года г.Владимир

«Из собственного опыта могу сказать, что решать — принимать или не принимать гормональные препараты, необходимо только с участием специалиста-эндокринолога. Лишний вес мучил меня очень долго, я перепробовала массу разнообразных диет, а эффекта не добилась никакого. Только после похода к специалисту, наконец-то выяснилась причина — гипотиреоз. Именно это и привело к необоснованному увеличению массы тела.

Подбирали дозу долго — меня тошнило, клонило в сон, несколько раз была беспричинная диарея. Но наконец-то подобрали.

Теперь у меня все нормально. Ушел вес (лишние 8 кг), повысилась работоспособность. Тому, для кого этот препарат является необходимым для поддержания здоровья, а не только для похудения, его необходимо принимать. Вы в обязательном порядке похудеете и будете себя хорошо чувствовать. Если же Ваша щитовидная железа обеспечивает организм гормонами в достаточном количестве, стоит хорошо подумать, прежде чем ломать ее работу»

Алексеева Алевтина, 40 лет, г.Калуга

«Не советую принимать гормон щитовидной железы без рекомендации врача. Действительно, возможно добиться при его помощи снижения веса, но если он вызван пониженной секреторной активностью щитовидки. Такой диагноз можно поставить только после множественных анализов и заключения врача. В данном случае такой эффект будет не только безвредным, но и очень полезным для здоровья»

Противопоказания

Данный препарат не рекомендуется принимать людям с

  • сверхчувствительностью,
  • болезнями почек и надпочечников,
  • всеми типами сердечных заболеваний,
  • сахарным диабетом,
  • проблемами с почками.

Основной фокус в том, что наш организм очень не хочет тратить свои «стратегические» запасы и включает разжигание аппетита. Начинаем есть больше, и как следствие, не худеем. Л-тироксин тут не поможет похудеть. Главное, нам вовремя «закрыть рот на замок», и тогда похудение вполне осуществимо.

Но в такой ситуации внутри нас основной обмен работает на максимуме, чем это нам грозит:

Сердце также работает на пределе своих возможностей, что способствует его изнашиваемости.
Не способствует долговечности работы сердца и повышенное кровяное давление, которое получилось в результате его же активности.
Данный синтетический гормон способствует распаду костных тканей. В результате чего, они становятся хрупкими и ломкими.
От разрушения костных тканей в кровь выбрасывается огромное количество кальция, который нужно вывести из организма, и делать это будут почки

По началу это будет удаваться, но позже произойдет накопление кальций в них, и потом эти органы откажут работать вообще.
Немаловажно и то, что долгий прием данного гормонального препарата вызовет отказ вашей щитовидной железы от выработки собственного гормона. А так сбывается вся работа данного органа, вплоть до отказа вообще.

О похудении

Современная жизнь диктует нам свои правила, навязывая идеалы и стандарты красоты. Главенствующее положение отводится стройной, красивой и подтянутой фигуре. Увы, обладают такой роскошью далеко не все.

В последнее время набирает популярность употребление различных таблеток и БАДов для похудения. К их числу относится немногим известный гормональный медикамент Л-Тироксин.

Его назначает доктор-эндокринолог людям с рядом болезней, вызванных дисфункцией щитовидной железы:

  • Гипотиреоз;
  • Онкология данного органа;
  • Диффузный токсический зоб;
  • Аутоиммунный тиреоидит.

Допускается использование Л-тироксина грудными детьми, например, при гипотиреозе, выявленном с момента рождения малыша.

Как показали последние исследования, прием л-тироксина способствует успешной борьбе с лишним весом. Как это происходит? Всем ли подходит прием данного гормонального медикамента? Можно ли его употреблять без назначения доктора?

Что такое тироксин

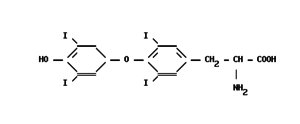
Тироксин – это один из двух гормонов щитовидной железы, содержащих йод. Его еще называют L-тироксин, Левотироксин, Тетрайодтиронин, Т4. Само вещество обладает слабой биологической активностью. В тканях человеческого тела под воздействием определенных ферментов гормон Т4 переходит в более активное вещество трийодтиронин (Т3). L-тироксин синтезируются преимущественно в эндокринных и железах внутренней секреции. Йодсодержащий гормон поддерживает в норме метаболизм и физиологические функции. Для воздействия на организм активное вещество при определенных биохимических процессах выбрасывается в кровь. Попадая в кровяное русло, гормон при помощи специальных белков-рецепторов связывается с клетками-мишенями. В результате он проникает во все ткани и органы, регулируя процессы жизнедеятельности.

Под воздействием вещества во всех тканях и клетках запускается масштабный процесс синтеза белков и энзимов, способствующий функциональной активности систем организма. Под влиянием экзогенного или эндогенного поступления гормона увеличивается количество аденозинтрифосфата – главного источника энергии. Тиреоидные вещества способствуют увеличению числа митохондрий в клетках-мишенях, которые приводят к образованию АТФ (аденозинтрифосфорная кислота). Гормон тироксин трийодтиронин выполняет такие основные функции в организме:

  • усиление продукции тепла;
  • регулирование артериального давления;
  • повышение умственной активности и трудоспособности;
  • сжигание жировых отложений;
  • подавление аппетита;
  • улучшение пищеварения;
  • ускорение обмена белков, жиров, углеводов;
  • увеличение физической активности;
  • стимулирование нервной системы;
  • уменьшение потребности в сне;
  • образование эритроцитов и усвоение белка;
  • контролирование выработки яйцеклеток;
  • усиление поглощения кислорода тканями и органами;
  • препятствие закупорки сосудов холестериновыми бляшками.

Медицинская отрасль выпускает Л-тироксин в синтетическом виде, который идентичен человеческому гормону. Называется препарат левотироксин натрия или сокращенно – L-тироксин. В печени и почках превращается в трийодтиронин, после чего распределяется по клеткам организма. Вещество используют для заместительной терапии при гипотиреозах различной этиологии.

Что такое тироксин

Тироксин – это один из двух гормонов щитовидной железы, содержащих йод. Его еще называют L-тироксин, Левотироксин, Тетрайодтиронин, Т4. Само вещество обладает слабой биологической активностью. В тканях человеческого тела под воздействием определенных ферментов гормон Т4 переходит в более активное вещество трийодтиронин (Т3). L-тироксин синтезируются преимущественно в эндокринных и железах внутренней секреции.

Йодсодержащий гормон поддерживает в норме метаболизм и физиологические функции. Для воздействия на организм активное вещество при определенных биохимических процессах выбрасывается в кровь. Попадая в кровяное русло, гормон при помощи специальных белков-рецепторов связывается с клетками-мишенями. В результате он проникает во все ткани и органы, регулируя процессы жизнедеятельности.

Под воздействием вещества во всех тканях и клетках запускается масштабный процесс синтеза белков и энзимов, способствующий функциональной активности систем организма. Под влиянием экзогенного или эндогенного поступления гормона увеличивается количество аденозинтрифосфата – главного источника энергии. Тиреоидные вещества способствуют увеличению числа митохондрий в клетках-мишенях, которые приводят к образованию АТФ (аденозинтрифосфорная кислота). Гормон тироксин трийодтиронин выполняет такие основные функции в организме:

  • усиление продукции тепла;
  • регулирование артериального давления;
  • повышение умственной активности и трудоспособности;
  • сжигание жировых отложений;
  • подавление аппетита;
  • улучшение пищеварения;
  • ускорение обмена белков, жиров, углеводов;
  • увеличение физической активности;
  • стимулирование нервной системы;
  • уменьшение потребности в сне;
  • образование эритроцитов и усвоение белка;
  • контролирование выработки яйцеклеток;
  • усиление поглощения кислорода тканями и органами;
  • препятствие закупорки сосудов холестериновыми бляшками.

Медицинская отрасль выпускает Л-тироксин в синтетическом виде, который идентичен человеческому гормону. Называется препарат левотироксин натрия или сокращенно – L-тироксин. В печени и почках превращается в трийодтиронин, после чего распределяется по клеткам организма. Вещество используют для заместительной терапии при гипотиреозах различной этиологии.